SDSS map of the Universe. Credit: Sloan Digital Sky Survey (SDSS)
Background and Motivation
Cosmic filaments are the largest structures in the Universe, forming a vast cosmic web that connects galaxies and clusters across billions of light-years. These filaments are thought to play a crucial role in galaxy formation and evolution, as they funnel gas and dark matter into galaxies, fueling star formation and black hole growth. However, these hypotheses are mainly based on simulations, and observational evidence of the impact of filaments on galaxy properties is still limited.
Methodology
In this project, we introduce the RAWS sample, a comprehensive cross-matched multi-wavelength dataset of galaxies from the following surveys:
To identify which galaxies in our sample are located within cosmic filaments, we use the filament reconstruction from the Sloan Digital Sky Survey (SDSS) (Carrón Duque et al., 2022).
Key Findings
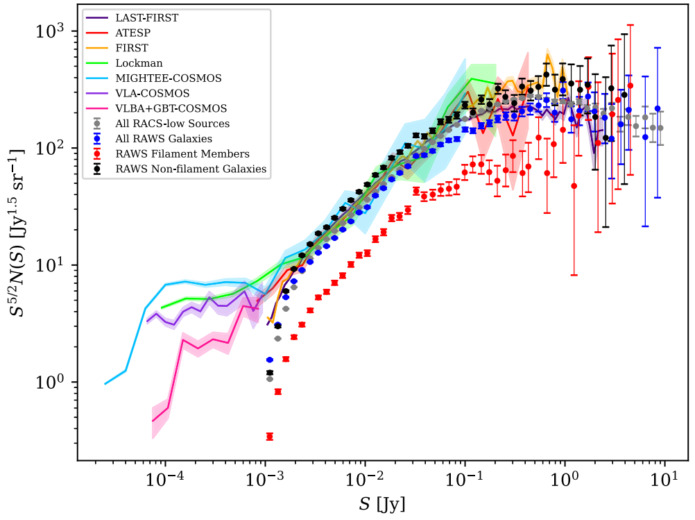
RAWS I: A clear suppression in the radio source counts of filament galaxies is observed, consistent with the hypothesis that filaments can quench galaxies in intermediate density environments (Hassan et al., 2025)
Radio source counts of filament and non-filament galaxies in the RAWS sample
References
The RapidASKAPContinuumSurveyI: Design and first
results
D. McConnell, C. L. Hale, E. Lenc, J. K. Banfield, George Heald, ...
Publications of the Astronomical Society of Australia, 37, 2020
The role of cosmic filaments in galaxy evolution remains uncertain,
with conflicting evidence for both enhancement and suppression of star
formation (SF) and active galactic nucleus (AGN) activity. In this first
paper of the RAWS (RACS-WISE-SCOS-SDSS) project, we investigate the
radio properties of galaxies in filaments by analysing source counts of
radio sources from the Rapid ASKAP Continuum Survey (RACS),
cross-matched with data from the Wide-field Infrared Survey Explorer
(WISE), SuperCOSMOS Sky Survey (SCOS), and Sloan Digital Sky Survey
(SDSS) filament reconstructions. Two samples - RAWS-low and RAWS-mid -
were derived from RACS-low (\(887.5~\mathrm{MHz}\)) and RACS-mid (\(1367.5~\mathrm{MHz}\)), respectively. Each
sample was subdivided into (1) all RAWS galaxies, (2) RAWS filament
galaxies, and (3) RAWS non-filament galaxies. We constructed normalized
Euclidean \(1.4\mathrm{-GHz}\) source
counts for all subsamples. The results show that AGNs dominate all
samples. The source counts for subsamples (1) and (3) agree well with
those from previous radio surveys. However, we observe a clear
suppression in the source counts of filament galaxies (subsample 2)
across both RACS frequencies. This suggests a lower surface density of
AGN in filamentary environments compared to field galaxies, possibly due
to environmental processes such as ram-pressure stripping, gas
depletion, or intergalactic medium (IGM) interactions. These findings
are consistent with simulations predicting gradual quenching in
intermediate-density environments. While our results support the idea
that filaments may suppress AGN activity up to \(z \sim 0.6\), further investigation is
needed to understand their dual role in both quenching and fuelling
galaxy evolution.
@article{Hassan2025,title={The {RAWS} {Project}: {I}. {Do} {AGN} quench their activity in cosmic filaments at redshifts up to $z \sim 0.6$?},volume={541},issn={1365-2966},url={http://dx.doi.org/10.1093/mnras/staf1209},doi={10.1093/mnras/staf1209},number={4},journal={Monthly Notices of the Royal Astronomical Society},publisher={Oxford University Press (OUP)},author={Hassan, Mohd Shaiful Rizal and Abidin, Zamri Zainal and Nazri, Affan Adly},year={2025},month=jul,pages={3696--3708},}